详情
Maple计算器APP,一款全能的解方程函数计算器工具。它通过更为直观的数学公式步骤,为你完整解答各类数学难题。当大家遭遇数学难题时,借助它能从多种思考角度完成解答过程。而且,无需担忧无网环境,随时随地,想算就算。
Maple计算器APP怎么使用
1、你可以随意输入公式、方程式等,可以清晰的查看到结果;
2、还可以输入复杂的方程式,也能自动显示计算的结果;
3、点击右上方按钮,还可以查看到方程两边的图;
4、求解x、化简、求微分等功能,非常好用。
Maple计算器APP功能介绍
1、基本运算:算术、分数、小数、整数、因子、平方根、幂运算
2、代数方面:涵盖线性方程的求解与作图、方程组的求解与作图,还包括对多项式的处理,以及二次方程与函数、对数函数与指数函数、三角函数、三角恒等式等内容。
3、 预科微积分学:作图、分段函数、绝对值、不等式、隐函数
4、线性代数相关运算:计算行列式、求逆矩阵、求转置,确定特征值与特征向量,以及求解矩阵(包括将矩阵化简为阶梯形矩阵和运用高斯消元法)
4、 微分方程:求解常微分方程
Maple计算器求导教程
1、我们在箭头所指之处粘贴代码,获取运行结果。此外,也能够创建新文档。
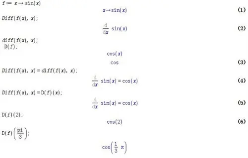
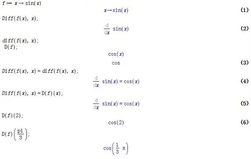
2、先定义函数:f:=x->sin(x)。
3、这个命令的运行,并非求导,而是返回求导符号。
4、求导,可以使用diff(f(x),x);也可以使用D(f,x);
5、要是想输出一个完整的求导公式,就像这样:Diff(f(x),x)=diff(f(x),x) 。
6、还可以这样:Diff(f(x),x)=D(f)(x)。
7、如果要计算函数在x=2的导数:D(f)(2);
pi在Maple里面表示π:D(f)(pi/3);
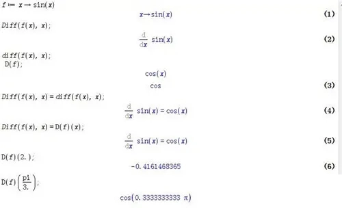
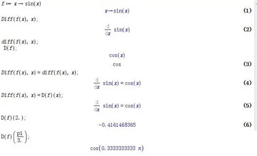
8、如果我们在数字后面加上小数点,就得到数值形式:
D(f)(2.);D(f)(pi/3.)
Maple计算器APP推荐理由
1只需在相机上轻轻一键单击,就能运用功能强大的人工智能技术,输入手写及排印的数学问题。另外,也可像老师那样使用数学符号,在计算器中输入数学表达式问题。输入过程极为轻松,因其“看起来很舒适”!
2、无论以何种方式输入数学问题,您都可进行求微分与积分、求解系数多项式、矩阵求逆、解方程组、解常微分方程等操作。这款应用依托世界领先的Maple数学引擎,具备强大功能,能够完成海量数学运算!
3、除答案外,您还能获得各类数学问题(含因式分解)详尽的分步解答,涵盖因式分解、求极限、导数与积分、矩阵运算、微分方程求解等等!
4、马上查看表达式的二维与三维图形,观察改写表达式时图形的变化情况。您能够对三维图进行放大、平移,甚至旋转操作,以便更细致地查看求解区域。



